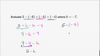
Adding & subtracting negative numbers: variables

Feeling positive about all of this negative number stuff? Challenge yourself to solve some more advanced problems, including expressions with variables.