Khan Academy (English - US curriculum)
Math
Algebra 1
Irrational numbers
Sums and products of rational and irrational numbers
Sums and products of rational and irrational numbers
Proof: sum & product of two rationals is rational
Proof: product of rational & irrational is irrational
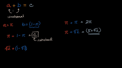
Proof: sum of rational & irrational is irrational
Sums and products of irrational numbers
Worked example: rational vs. irrational expressions
Worked example: rational vs. irrational expressions (unknowns)
Rational vs. irrational expressions