Khan Academy (English - US curriculum)
Math
AP®︎ Calculus AB
Integration and accumulation of change
Integrating functions using long division and completing the square
Integrating functions using long division and completing the square
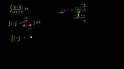
Integration using long division
Integration using long division
Integration using completing the square and the derivative of arctan(x)
Integration using completing the square