Khan Academy (English - US curriculum)
Math by grade
Eureka Math/EngageNY
Geometry (Eureka Math/EngageNY)
Module 1: Congruence, proof, and constructions
Topic E: Proving properties of geometric figures
Topic E: Proving properties of geometric figures
Proof: Opposite sides of a parallelogram
Proof: Diagonals of a parallelogram
Proof: Opposite angles of a parallelogram
Proof: The diagonals of a kite are perpendicular
Proof: Rhombus diagonals are perpendicular bisectors
Proof: Rhombus area
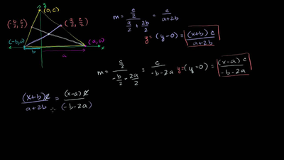
Triangle medians & centroids
Triangle medians and centroids (2D proof)
Dividing triangles with medians
Exploring medial triangles
Centroid & median proof
Median, centroid example